In[]:=
CompoundExpression[
]
​​deploy
Wed 22 Mar 2023 14:54:32

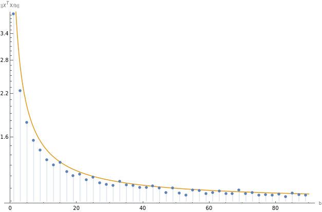
How do spectral norms depend on sample size?

mathoverflow question: https://mathoverflow.net/questions/442811/norms-of-wigner-matrices-under-power-law-decay
​
Utilities: sgd-vs-gd.nb
In[]:=
SF=StringForm;​​h=1/Range[30];​​d=Length[h];​​Print["h is ",h];​​(*Gaussiansampler*)​​SeedRandom[1,Method->"MKL"];​​gaussianSampler[diag_]:=With{d=Length[diag]},​​Compile{{n,_Integer}},​​Module{vals,diagSqrt},​​diagSqrt=
diag
;​​vals=diagSqrt*#&/@RandomVariate[NormalDistribution[],{n,d}];​​​​sampler=gaussianSampler[h];​​​​maxB=3*d;​​norm[b_?NumericQ]:=With[{X=sampler[Round@b]},Norm[X.X/b]];​​simulation=DiscretePlot[Mean[Table[norm[b],200]],{b,1,maxB,2},PlotRange->{0,1.1*Total[h]},​​ScalingFunctions->"Log"];​​​​guess[b_]:=
b+1
b
Norm[h,∞]+
1
b
Norm[h,1]​​bounds=Plot[{None,guess[b]},{b,1,maxB},​​PlotLegends->{Block[{h},HoldForm[Evaluate@guess[b]]]},​​ScalingFunctions->"Log",PlotRange->{0,Norm[h,1]}];​​Show[bounds,simulation,AxesLabel->{"b","||
T
X
X/b||"}]​​
h is 1,
1
2
,
1
3
,
1
4
,
1
5
,
1
6
,
1
7
,
1
8
,
1
9
,
1
10
,
1
11
,
1
12
,
1
13
,
1
14
,
1
15
,
1
16
,
1
17
,
1
18
,
1
19
,
1
20
,
1
21
,
1
22
,
1
23
,
1
24
,
1
25
,
1
26
,
1
27
,
1
28
,
1
29
,
1
30

Out[]=
h
1
b
+
(1+b)
h
∞
b
​