In[]:=
pts=RandomPoint[DiscretizeGraphics[RevolutionPlot3D[2*Sqrt[(r-1)],{r,1,2}]],10000];
In[]:=
ResourceFunction["NonConvexHullMesh"][pts,.2]
Out[]=
In[]:=
MeshConnectivityGraph[%]
Out[]=
In[]:=
grbig=%198;
In[]:=
GraphPlot3D[%,GraphLayout"SpringElectricalEmbedding",VertexCoordinatesAutomatic]
Out[]=
In[]:=
HypergraphDimensionEstimateList[List@@@EdgeList[%198]]
Out[]=
In[]:=
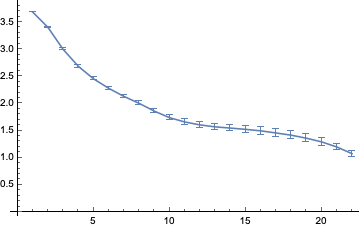
ListLinePlot[%]
Out[]=

Further from event horizon

In[]:=
ptso=RandomPoint[DiscretizeGraphics[RevolutionPlot3D[2*Sqrt[(r-1)],{r,2,5}]],4000];
In[]:=
ResourceFunction["NonConvexHullMesh"][ptso,.6]
Out[]=
In[]:=
gro=MeshConnectivityGraph[%]
Out[]=
In[]:=
GraphPlot3D[gro,GraphLayout"SpringElectricalEmbedding",VertexCoordinatesAutomatic]
Out[]=
In[]:=
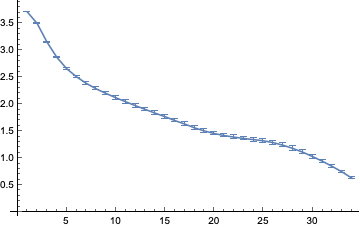
HypergraphDimensionEstimateList[List@@@EdgeList[gro]]
Out[]=
{3.683
±
0.006
,3.402
±
0.014
,2.997
±
0.018
,2.684
±
0.022
,2.454
±
0.026
,2.279
±
0.031
,2.130
±
0.034
,2.00
±
0.04
,1.86
±
0.04
,1.74
±
0.04
,1.66
±
0.05
,1.61
±
0.05
,1.57
±
0.06
,1.55
±
0.06
,1.52
±
0.07
,1.50
±
0.07
,1.46
±
0.07
,1.42
±
0.07
,1.36
±
0.07
,1.29
±
0.07
,1.20
±
0.06
,1.08
±
0.06
}
In[]:=
ListLinePlot[%209]
Out[]=

Geodesics

Charles version