About Wolfram
Wolfram Language
Summer Programs
Technologies for Education
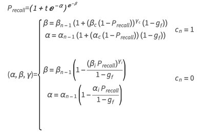
Computation through smooth dynamics: simulating Topological Kleene Field Theories.
Isaac Ramos Reina
Visual and Statistical Analysis of LLMs via Problem Complexity
Rakesh Vijay Kumar
Graph Theoretic Approach to Feynman Checkers
Gary Louw
Searching for holes in proof space
Saúl Bernal
Spatiotemporal characterization of protein molecular dynamics trajectory
Ian Asaf Muñoz Granados (“Asaf”)
Discrete SU(2) Gauge Theory via Hopf Bundles and Hypergraphs
Ioana-Alexandra Milea (“Ioana”)
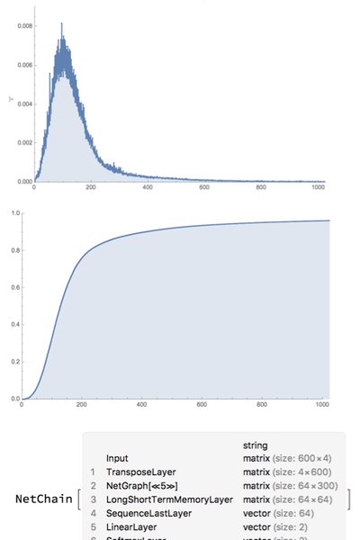
Mining Pockets of Computational Reducibility with AI: Transformer Models of Graph Rewriting
Floe Foxon
The Limitations of Network Learning for Cellular Automaton
Alexander Fogelson (“Alex”)
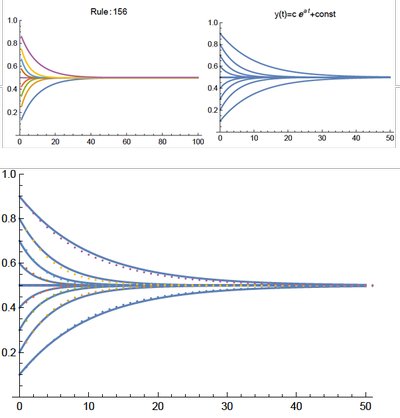
Stability Analysis of Additive Continuous Cellular Automata
Tarang Janawalkar
Interpretable Symbolic Regression with Kolmogorov-Arnold Networks
Peixin Shen (“Peter”)
Strategic Machines: Exhaustive Analysis of Finite State Automata in Games
Rodrigo Bazaes
An Economy of AI Agents
Tarek Junied
Critical Behavior and Noise Threshold in Consensus-Based Cellular Automata
Lucas Squillante
No Child's Land: Where Opportunity Falls Off the Map
Robyn Gausman-Burnett
Mapping Solar Shadows and Celestial Objects in the Sky
Amaad Zaidi
Adaptive Evolution of Hypergraph Rewriting Systems
Anneline Daggelinckx
Wealth Exchange in Agent-Based Systems
Arul Singh
Classifying Mathematical Statements via using Metamath dependency graph
botan cevik
Computability on Nestedly Recursive Function (NRF)
Bowei Xv
Multiway System Computation of Knot Probabilities in Lattice Polygons: A Higher-Dimensional Perspective Topological Perspective
Brooklyn Vasquez
The Pattern of Wolfram Summer School: A Journey Through Projects, Places, and People Over Two Decades
Damario Abdalla
The Ruliad as an Optimal Framework for Unifying Mind, Matter, and the Infinite
Damaris Kroeber
Who drops out and why? Data storytelling in Wolfram Language with LLMs
Daria Smyslova
Investigating rule space geometry on multi-state cellular automata
Davi Vieira da Silva
Using Cellular Automata for Cryptographic Authentication
ellynne DEC
Adaptative Evolution in Totalistic Cellular Automaton
Erick Jesse Angeles Lopez (“Jesse”)
Evaluating the Multiplicad
John Cantwell
Towards Agency in Computational Systems
John DeBrota
Optimizing the Wolfram Fluid Cellular Automaton for Modern Hardware
Joseph Stocke
What Shapes Can Organisms Have? Studying Biological Evolution in the Wolfram Evolution Model
Júlia Campolim de Oste
A Fitness-Guided Approach to Discovering Cellular Automata Rules that Generate a given target pattern
Junchi Shen
Exploring continuous cellular automata with respect to small perturbations
Kiran Shrestha
Influence of Base Representation on Patterns in Linear Congruential Generators
Lorenzo Ravaglia
A Psychology-Based Personality Vector for Predicting LLM Decision Making
Luke Weinbach
Units: How we got here and methodology for implementation in the Wolfram Physics Project
Matthew Fox (“Matthew/Memes”)
Entanglement Entropy in the Wolfram Model
Miles Miller-Dickson
AI-Aided Wolfram Tech Recommender System for Scientific Articles (TechMatch)
Muskaan Shahzad
Symbolic Modelling of Optical Systems
Oliver Phillips
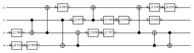
Brune Synthesis Method for Minimal Circuit Realization
Demian Pankratov (“Pankratov”)
Towards a Practical Scheme for In-Order Delivery
Sahas Munamala
Sketchy Business: Multivariate Character Visualization with Chernoff Faces
Shanecia Holden
Investigating the Quality of Pseudorandomness Generated by Large Language Models
Srijit Iyer
Exploring Statistical Neutrality Functions in Collatz-Type Iterative Sequences
Guanrui Lu (“Steve”)
Finding Low-Energy-Demand Routes in Urban Settings: Distance, Grade, and Speed Trade-Offs on Road Networks
William Creighton
Modeling of Interactions in Aqueous Electrolyte with Peptide Additive
Xuelian Liu
Identifying and Manipulating Personality Traits in Large Language Models (LLMs)
Rumi Allbert
Particles in a Box: Kinetic Gas Theory and Simulations
Jakub Trzaska
Search for rules that preserve geometric structure in Wolfram Models
Fergus Noble
Robotic Arm Control Using Large Language Models
Curran Flanders
Exploring the Distributions of Shallow Multi-Layer Perceptrons
Teo Benarous
The Sand Reckoner, Now Translated to Wolfram Language
Shan Yang Yau
Analyzing Multiway Chemical Reaction Networks Using Chemical Space Networks
Nicholas Frieler
Electronic structure of atoms using quantum computing techniques
Michał Zdziennicki
Building Blocks’ Aggregation Systems
Maria Fernanda Castro Alvarez
RNA design in the Wolfram Language using Monte Carlo combined with a language model
Danny Barash
Adaptive Evolution for Turing machines
Brian A. Mboya
Exploring Reversibility in Mobile Automata
Adam French
Investigating Binary Black Hole Merger from Rewriting Rules in Wolfram Models
Yanlai Liu
Exploring Call Graphs of Nestedly Recursive Functions
Thomas Adler
Finding Minimal Axioms for Ring Theory
Tate Allen
Compositional Paths on Hypergraphs
Sergio Quiroga Sandoval
Gravitational Radiation in Discrete Spacetimes
Nathan Magari
Building a RAG for arXiv Data
Michael Ernest
Searching for Indications of Fractional Dimensions
Luke Wriglesworth
Creating an Anatomic Coordinate System for Robotic Surgery using Real and Idealized L4 Vertebrae
Logan Nye
Spot the Cat: Cellular Automata Edition, or Representational Images in Cellular Automata
Kathryn Cramer
Truncated Fock space as a way to model 2nd quantization in Wolfram Language
Juraj Tkáč
A Mind-Controlled Keyboard: Using Steady State Visually Evoked Potentials to Create a Storytelling BCI
Emma Susi
Exploring LLM's Participation in a Representative Democracy
Derwin Pritchett
Finding and Bounding Generalized Ising Model Ground State Energies
David Moore
Quantum Cellular Automaton
Andres Arcia Lopez
Identifying Candidate Moon Craters For Radio Telescope Placement
Andrew Herrera
A Computational Model for Invasion Sports
Willem Nielsen
Ad Hoc Electric Utility Power System Analysis with Wolfram System Modeler and Mathematica
Glen Halley
Renewable Energy System Modelling
Niilo Kantoniemi
Study “Logic Puzzle” Axiom/Multiway Systems from TPTP
Arihant Gadgade
Building LLM Agents for Data Science
Astitva Chopra
Non-Possible Block of a Cellular Automaton
Atik Santellán
A New Type of Social Media
Carl Flygt
Expanding the Mandelbrot Set to 3D Using Dimensional Folding
Dave Mouton
Automated Experimental Data Processing - Example of Halite Fluid Inclusion Paleo-temperatures
Emmanuel Guillerm
Pre-Lie Structures of Graph Rewriting and Associated Axiom Systems
Fernando Olivie Méndez Méndez
Studying the effects of noise in simple quantum logical systems
Stanisław Rakowski
Graph Theory Approach to Hard Sphere Fluids
Gabriel Malavé
Computational Thinking Education through Natural Law
He Yu
The Equivalence Principle, Hyperbolic Geometry and Gyrogeometry
Ibrahim Bukvic
Motion and relativity in Wolfram models
Lev Chizhov
Deduce Grid Styles from an Image of a Table using Neural Networks
Lucas Greenwood
A Promise Made is a Debt Unpaid
Olga Cooperman
You've got LLMail
Prabhchintan Randhawa
PDE Coupling in Free and Porous Dual-Media Flow
Safi Ahmed
Optimizing Tensor Contraction using Function Compile to produce Machine Independent Representation for Compiler Integration
Vedant Tewari
Introducing combinatorial games in Wolfram Language's Entity framework with OOP
Zsombor Meder
Morphology of Hypergraphs: A Study of Hyperedge Evolution
Thomas Murff
Implementing Cosinor Rhythmometry In Wolfram Language
Andrew Turner
LLM-Powered Customizable Machine Learning Tool for Multi-Modal Tasks
Zhenzhao Tu
Computational Exploration for the Three-Body Problem
Fatimah Alhazmi
Adaptive evolution of finite two-dimensional cellular automata
Tadas Turonis
Hidden in Plain Sight: The Vinblastine Reimbursement Gap in Medicaid Data (1991-2022)
Phuong Le
Classification and Perturbation Analysis of Particle-like Structures in Cellular Automata
Thiago Han
Classification of Interactions between Persistent Structures in Code 20 Cellular Automaton
Dawei Davide Wu
A framework for analysing evolutionary games
Paul Harrald
A Remote Sensing Paclet for the Wolfram Language
Phileas Dazeley-Gaist
Efficient Discovery of Halting Paths in Aggregation System Multiway Graphs
Pietro Pepe
Turing Machines on Graphs
Stefan Graham
Study the Effect of Small Changes on Large Language Models
Luhan Cheng
Animating Wolfram Model Evolutions in 3D
Dugan Hammock
Hat Tiling Space Reduction and Grow Function Implementation
Bowen Ping
Using Large Language Models to Study the Relationship Between World Constitutions and Socio-economic Metrics
Joel Abdulai Kallon
Chemical Space Networks from Molecule Data
Joshua Khorsandi
LLM-Powered Reviews of Student Work Samples
Aaron Carver
Cosmological Imprints on the 2-Point Correlation Function of Over-Dimension Fields
Federico Semenzato
3D Human Pose Estimation Using Machine Learning
Fizza Rubab
HatGame: a journey through the hat tile configuration space
Johannes Martin
Network Packet Analysis GPT
John Adams
"Deciphering Scarcity: An Interactive Primer to Economics with Wolfram Mathematica" educational e-book.
Carlos Merardo Angulo Zumaeta
Testing Black Hole Entropy Law in Causal Graph Models
Jacopo Uggeri
Exploring Random Quantum Circuits without Unitary Matrix Decomposition
Charles Woodrum
Developing a Variational Quantum Eigensolver
Arielle Sanford
Exploration of distributed consensus using Wolfram Language
Mohd Hamza Ahmad
Hi Data – A Data Science Primer For High School Students With Wolfram Language
Muhammad Enaamul Hasan Khan
Frequency Track Detection in Polarimeter Data
Elizabeth Foley
Exploration of Symmetric Nonlinear Wave Equations
Kamil Dutkiewicz
Quantum Gate Comlpexity of Boolean Functions
Jakub Grabarczyk
Unveiling the Enigma of GPT-2: Decoding its Contextual Inference Mechanism
Mehrdad Moharrami
Deriving Market Insights from Financial News using Large Language Models (LLMs) to Forecast Stock Prices
Vatsal Piyush Shah
Investigating the Claims of "No Advantage' in Grover's Algorithm"
Suraj Vishwanath
Hackenbush Games as Multicomputational Systems
Zsombor Zoltán Méder
Unveiling the Veil: A Semantic Analysis and Visualization of Web Terms & Conditions
Dongming Jin
Multiway Systems For Exactly Solved Lattice Models
Aisel Shiralieva
Exploring Minimized Reversible Circuits From n-Bit Functions
Benjamin Peter
General Framework for Agent Based Modeling
Moritz Kalhöfer-Köchling
Exploring Facade Patterns in Urban Built Environments: A Step Towards Circular Architecture
Bing Yang
Viral Dynamics Modeling for Hepatitis B Virus (HBV) and Hepatitis Delta Virus (HDV)
Danny Barash
Extracting Rectangular Data Arrays from Microsoft Excel Files
David DeBrota
Interactive Learning Platform: Fusing Prompt Engineering and Wolfram Coding for Enhanced Tutoring
Ghassane Aniba
Exploring Spin Dynamics: An Ising Model Study
HengYuan Xu
Coffee Roasting Curve Analysis
Ivan Edgard Prado López
Empirical Metamathematics: Importing Lean to Mathematica
Jack Heseltine
Exploring the Dynamics and Growth Rate of Neighbor Dependent Substitution Systems using Cluster Size Entropy and Mean Square Displacement.
Jim Tortella
In-Context Learning in LLM as an Emergent Phenomenon
Jonathan Miller
What Happens IF You "DRUG" LLMs?
Michael Grey
Studying behaviour of simple network rewriting systems
Minaya Allahverdiyeva
Black Box Optimization: The Mesh Adaptive Direct Search (MADS) algorithm
Moises Daniel Gonzalez Arencibia
Atmospheric Data Retrieval from a Lidar Satellite
Richard Calderon
Tree of Thoughts: Exploratory Problem Solving With LLMs
Robert Giometti
Exploring Generalized Collatz Functions
Russell Martinez
Study of the possibility of phase transitions in LLM's
Sebastian Bahamondes
Exploring the AdS/CFT Correspondence in Discrete Spacetimes via Tensor Networks
Srishti Nautiyal
Analysing rare and NER words in Wikipedia
Tawsif Ahmed
Investigating the Extent of the English Language
Thiago Han
Obtaining an Optimal Image to Maximize Information for 3D Reconstruction
Tiyasa Sarkar
Domain walls in graphs
Tomasz Mazur
Study of statistical evolution of a gaseous system as a consequence of iterative simple rules
Utkarsh Patel
Toward a Homoiconic Foundation of Mathematics in the Wolfram Language
Adam Millar
From Elliptic Curves to Diophantine Equations : A Journey Through Rational Points
Aditi Kulkarni
Investigating LLM-Agent Interactions
Adrian Mladenić Grobelnik
Explorations on the Ruliad via Modular Arithmetic
Juan Arturo Silva-Ordaz
Interactive Demonstration of Lagrangian Mechanics
Isaías Martín Muñoz Cubero
The Ruliology of Network Mobile Automata
Ju-Yeol Choi
Exploration and Characterization of Mobile Automata
Lap Sum Chan
Rewriting GR Equations in Terms of Vector Calculus
Michael Ostroff
A New Class of Self Avoiding Walks on Queen Graphs
Cael Harris
Multiway Graphs for Minimal Chess End Games
Pavel Arkhipov
Exploring 3D Camera Motions and Multiway Graph Animation
Aditya Abhyankar
Framework for Self-referential data structures: ConsList and ConsTree
Athina Kyriazi
RuliadTrotter: Meta-modeling metamathematical observers
Aritra Sarkar
Extracting Linguistic Relations from Word Embeddings and Language Models
Cayden Pierce
Propagation of Photons through Variable-Dimensional Space
Simon Fischer
Establishing Maximal Entanglement Speed via Branchial Lightcones
Will Munizzi
Fractional Differentiation on long-memory Time Series: a case of study in Fractional Brownian Motion Processes
Frank Ygnacio
Fluid Flow Analysis through Squared Arrangements of Pipes
Giuseppe Parasiliti Rantone
Modeling Visual Migraine Aura in Convolutional Neural Networks (CNN)
Fizra Khan
Computational Implications of the Third Law of Thermodynamics on Elementary Cellular Automata
Gianmarco Morbelli
Implementation of a Zero Knowledge Proof framework for online authentication
Armando Cruz Hinojosa
Implementing Fusible Numbers
Ranel Pärna
Speech emotion recognition based on prosodic features in the spoken text
Niranjana Srinivasa Ragavan
Proof of Useful Ruliad Work
Arturo Silva-Ordaz
Branchial Graph Density Diffusion in Dynamic Multiway Systems
Aisha Kermiche
Graph Tilings and Constrained Network Systems
Theodore Mollano
Multiway Mobile Automata
Felipe Amorim
Gravitational lensing effects of localized dimension fluctuations
Hans Christiansen
Riordan Arrays for the enumeration of combinatorial structures: Applications to statistics
Jan Greve
Distributed Algorithms for Broadcast Queues: Generalizing from ArpaAlohaEtherInternet
Bob Metcalfe
Tic-Tac-Toe: A Quantum Probabilistic Approach
AKHILESH DUBEY
Use Machine Learning to Date Photographs
Mishal Moideen
Solving the Mixed Chinese Postman Problem with Mathematica
Peter Burbery
Using the QuantumToMultiwaySystem Tool to Simulate the Quantum Entanglement Completion Process in Quantum Entanglement Experiments
Mark Merner
Investigating the weak censorship hypothesis in the Wolfram Model
Nikola Bukowiecka
Generalizing Electromagnetism to Fractional Dimensions
Sanjib Katuwal
Generate Random Trees According to Particular Distributions
Carlos Alvarez Berumem
Maze Exploration Game
Keying Huang
Particle Tracks in a Bubble chamber
Waqar Waqar Ahmed
Interpreting different models of computation in hypergraph rewriting systems
Utkarsh Bajaj
Implementing Multiway System for Expression Simplification
Shwetabh Singh
Dual Petri Spekkens LIveness Protocol
Paul Borrill
Develop Heuristics for Bracket Autoclosing in Inputs
Xinyu Luo
Investigating Speciation in a Population of Artificial Critters with Token - Event Graphs
Anousha Qureshi
Multi-Way Tag Systems in Coordinatized Rulial Space
Dean Gladish
Generating Thumbnails with Machine Learning
Matteo Child
Develop "Tree Diff'ing" Functions
Arnab Datta
Fluid Mechanics on graphs
Abhishek Joshi
A Study In Proof Space Topology
Richard Charette
Traversing a 3D Cellular Automaton
Madelyn Mao
One-Dimensional Cellular Automata (1DCA) on Tilings other than the Square Grid
Chase Marangu
Cellular Automaton on Topological Surfaces
Harry Li
Study of Regge Theory using 2-body system in fractional space-time
Utkarsh Patel
Stability in a Star-Planet-Moon three-body system
Aman Burman
Characterisation of conserved magnitudes present in discrete lattice geometries via graph re-writing
Sinuhe Perea
Implementing Adinkras in the Wolfram Physics Project
Morgan Gillis
Semantically Informed Visualization Tool for Data Navigation
John McNally
Life dynamic system
chuqi ren
WSS22 Linguistic Leaps: Effective Pedagogy in Computational Communication
Lybrya Kebreab
Extended Newton Polytopes of Tropical Polynomials
Afreen Naz
A High School Unit on Saving and Investing
Bill Frey
Wolfram Mathematical Olympiad Problems Database
Miroslav Marinov
2D simulator for differential robots in The Wolfram Language
Carlos Vidal Villeda
Epidemiological Factors of Malaria: A Case Study of Mubarakpur, District Bahawalpur, Pakistan
Naseem Nawaz
Evolver-Wolfram Language Intersection
Kurt Swanson
An Adaptive-Mesh PDE Solver with Potential Connections to the Wolfram Model
Omid Mozafar
Teaching IBDP Calculus with Wolfram Demonstration
Hasan Khan
Lecture Notebooks for Vector Calculus: Lagrange multipliers
Passant Abbassi
Fractional Knapsack Model for the Project Allocation Problem (PAP): A Case of a Lagos District
David Daniel
What Constrains Wildfire Burn Area?
Assaad Mrad
Computational Complexity Classes, Homotopy Classes, and n-Machines
James Boyd
Effects of Causal Graph Dimension Variations in Null Geodesics
Joana Teixeira
Dimension decay in the Early Universe
Jan Chojnacki
A Topological Introduction to Causal Set Theory & Wolfram Physics
Rafael Turner
Recovering Scalar Fields Effects in the Wolfram Model
Salvatore Vultaggio
Kretschmann Scalar for Hypergraphs
Ariadna Uxue Palomino Ylla
Asymptotics of the Volume of Manifolds and Graphs
Samuele Mongodi
Meijer-G Learning
Sotiris Michos
A Wolfram Framework for NFT Analytics
Kai Harris
Lie Algebras and Curvature in Discrete Geometry
Antonia Seifert
Using Machine Learning to Analyse Whale Bioacoustics
Anika Sharma
Into The Ternary World
Carlos Zapata-Carratala
Gauge Field Theories on Discrete Principal Fibre Bundles
Matthew Maddock
Comparing Wolfram Model and Causal Set Entanglement Entropies
Julia Dannemann-Freitag
Cataloguing User Error Types on EIWL Exercises
Roel Fledderman
Finding Ways to Pick Optimal Frames for Video Summarization
Jiya Singh
Draw a Character on the Street Map
Junyao Chen
Non-Trivial Homotopies of Arbitrary Hypergraphs and Their Solitons
Vladyslav Kuchkin
Implementing 4D Visualization
Marc Vicuna
Distributed Consensus in Multiway Graph Cellular Automata
Andrés Felipe Bermúdez Mendoza
Foundations of Differential Geometric Algebra in Wolfram Language
Michael Reed
MIX Virtual Machine
Jonah Liu
Quantum Gravity in (2+1) Dimensions and Multiway System
Alessandro Pisana
Color Spin Networks
Raymond Aschheim
Biomechanical Model of Joint Movements in Human Body
Muhammad Ubadah Tanveer
Expression Difference [Science & Tech 2021]
Aman Kumar Dewangan
Studying Cosmology in the Case of Dimension Change
Indira Ocampo Justiniano
FuncNets: Exploring Neural Networks for Function Evaluation
Rahul Sharma
Visualizing Context in the Meaning Space Structure
Angelo Barona
Study Aggregation Systems with Multiway Graphs
Lina Galvis
Coarse-Graining State Networks with Approximate Graph Isomorphism
Jessica Yuan
Classification of Raven’s Progressive Matrices
Scott Edgar
Towards Causal Invariance Proofs in the Wolfram Physics Project
Silas Grossberndt
Functorial QFT and its Connections with the Wolfram Model
Alisson Silva
Curating Common Word Lists for Less Commonly Spoken Languages
Mythreyi Namuduri
Multi-way Tiling Systems
Farhan Tanvir Chowdhury
Bloch Sphere and Gate Complexity
Georgios Smyridis
The 3-Colored Distributed Consensus Problem
Ryan Lau
Finding Zeros with Domain Coloring and Winding Numbers
Garrett Dubofsky
Economic Growth in the Game of Life
Stephen Macurdy
Exploring 1+1D Euclidean Dynamical Triangulations
Archana Radhakrishnan
On Charge-Spin Networks From Multiway Systems Branchial Graphs
Marcelo Amaral
Study Backtracking in Cellular Automata as a Multiway System
Wenjie Zhou
Use Neural Networks to Predict Solutions of Partial Differential Equations
Alireza Bafandeh
Assembling a Global Database of University Course Listings
Amir Sadeghi
Implementing the Statistical Problem Solving Process
Kimberly Gardner
Modeling the Center of Mass for College Mechanics
Stephan Bourget
Developing a Machine Learning Pedagogical Tool
Katie Gatto
Multiway Quantum Many-Body System
Tie-Cheng Guo
Cellular Automata in Nested Quasicrystals
Fang Fang
Confluence in Multiway Cellular Automata
Benjamin Jacobsohn
Bell’s Equation in the Wolfram Model Multiway Formalism
Mark Merner
Plotting the Evolution of a Wolfram Model in 3-Dimensions
Dugan Hammock
Laying the Foundations for Visualizations
Chirag Rathi
Electronic Science Experiment Augmented with Wolfram Technologies
Mahnoor Fatima
Implementing Blum’s: Conscious Turing Machines
Swarup Tripathy
Adaptive Memorization Method Using The “Recurrent Power Law” Model
Carlos Andrés Ballesteros Alvarez
Designing a Framework for Adaptive Feedback
Anna Lager
The 2-State CA With Non-Adjacent Parent Cells
Alejandro Puga
Computing Hydrocarbon Chemical Reactions Based on Graphs
Osama Sarhan
Constructing Protein Surfaces
Yury Polyachenko
Find a Graph Approximation to the Cosmic Web
Truman Tapia
Student Financial Aids with Neural Network Approach
Thao Nguyen
Wolfram Models as Discretization Methods for Numerical PDE Solver
Yanal Marji
Quantum Teleportation in String Substitution System
Taufiq Murtadho
Towards Universal Robotics
Douw Marx
Textually Describing Wolfram Language Expressions
Renan Germano
Multiple Transformation Rules that Give Slow Growth
Sam Wilson
Natural Spreadsheet Understanding
Carsten Giersberg
Shor’s Algorithm in Multiway Systems
Yoav Rabinovich
Exploring CPT Invariance in Wolfram Models
Xiyuan Gao
Homotopic Foundations of Wolfram Models
Xerxes Arsiwalla
Local Dimension Measure and Rotation Groups in Wolfram Models
Tobias Canavesi
Implementation of Level-Index Arithmetic for Very Large Numbers
Swastik Banerjee
Text Generation Using GANs
Suman Sigdel
MNIST Automatic Denoising with U-NET Autoencoder
Siria Sadeddin
Random Walks in Branchial Space and Finding Simplest Universal NDTM
Simon Golombek
Function to Compute the Microwave Spectrum Tables from a Molecule
Juan Sebastián Molano Peña
Nearest NACA Airfoil Finder
Saulo da Paz Almeida
Constructing Directed Graphs of Email Conversations
Ryan Bell
Hunting for Black Holes
Carlos Rafael Garduño Acolt
Cellular Automata (CA) on 3D Lattices
Radhika Prasad
Integrating SPICE into Mathematica: C Style
Pranav Sai
Block Diagram Visualizations of Functions
Phillip Waitkevich
The Quantum Harmonic Oscillator in the Wolfram Physics Model
Patrick Geraghty
Multi Perspectives, 3D Graph Embeddings and Multispace
Nikolay Murzin
Product Line Optimization for a Monopoly Firm
Monir Jalili
Studying State Transition Diagrams in Finite Wolfram Models
Mohamed Gaber
Evolution of (Hyper)Graph Invariants under (Hyper)Graph Rewritings
Maurizio Moreschi
Exploring Networks in Hard Sphere Models
Matthew Kafker
Computable Grammar of Architectural Forms
Maria Czarnecka
An Exploration of the AdS/CFT Correspondence within Wolfram Models
Marc Sperzel
Comparing Expansion in Physical and Branchial Space
Manojna Namuduri
Exploring Statistical Mechanics in String Substitution Systems
Luke Neville
Implementing Mutual Information
Luigi Brancati
Temporal Evolution of Cond-Mat Topics on Arxiv
Jiahao Fan
Non-Paraxial Optical Field Modeling
Julián Laverde
EPR Interactions in Generational Multiway Systems
Joseph Blazer
Curve OCR for “AP Calculus”-like “Sketched” Curves
José Antonio Fernández
Weyl’s Law and the Wolfram Model of Physics
Jon Lederman
Classifier for Predicting Surgical Site Infections
John Cromwell
Multiway Circular-String Rewrite Systems
Joe Crowley
Wolfram Models: State Transition Networks of Non-Growing Hypergraph Evolutions
Jin Yan
Classifying the Growth Rates of Wolfram Models
Jatin Kansal
Petri Nets Classification
Jairo Martin Rojas Huamaní
Quantum Effects in Fluid Flow with Cellular Automata
Ivan Martinez
Robust Depth Estimation and 3D Reconstruction via Stereo Vision
Itziar Zabaleta
Automation of Textual Analysis of SEC 10-K Reports
Iosif Gershteyn
Towards an Organic Chemical Reaction Pathways Calculator
Humood Alanzi
Investigating Quantum Interference Effects in Wolfram Models
Hatem Elshatlawy
Full Discretization of Local Gauge Invariance
Graham Van Goffrier
Classification for Reddit Comments According to Their Scores
Gongbo Zhang
ThermodynamicCycle
Gino Andrade
Question Generation in Computer-Based Assessment
George Woodrow III
Preparing Sample Chapters of Book - “a Computational Introduction to Statistical Modelling”
Farai Fredric Mlambo
Sequence-to-Sequence Learning of Writing Styles in Fiction
Edoardo Baldi
Exploring the Dimensionality of Wolfram Models as a Function of the Number of Steps
Darya Dyachkova
Design and Implementation of Data Structure for Crystalline Atomic Data
Claudio Chaib
Estimating 3D Object Rotations From 2D Imagery
Christopher Schultz
Search for Particle-Like Excitation’s Causal Influence in Wolfram Models
Christian Pratt
Dense Packing of Spheres as A Model of the Atomic Nuclei
Chinmay Mishra
Terminations and Completions in String Multiway Systems
Chenshuo Ma
A Path to the Higher Order Corrections of Einstein’s Field Equations
Cameron Beetar
Through a Glass Darkly - Deciphering the Micro- and Macrocosmos
Barbara Mack
Deep Learning Applied to Gravitational Wave Detection
Bar Alluf
Interpreting the Distributions of Dimensions in the Wolfram Models
Asir Abrar
Finding Conservation Laws in Hypergraph (Graph) Rewritings
Antony Halim
Graph Representation of Biological Evolution
Antonia Kaestner
Artificial Brain Machine Interface
Anshul Chandra
Persistent Homology
Andrew Ortegaray
Wolframe: Semantic Video Summarization
Andrew O'Brien
Particles and fields from topological defects in spacetime mesh
Andoni Royo
Study of Shapes and Curves Defined by Curvature vs Arc Length
Alejandra Ortiz Duran
Implement a Differential Privacy Framework
Adrian Vidal
Finding Gravitational Waves in Wolfram Models
William Yam
The Sound of Data
Sho Hihara
Machine Learning Enhanced Design of Diffractive Optical Elements
Paweł Komorowski
Code Embeddings for Wolfram Language
Constantine Korikov
OCR for Sheet Music
Daniel Csillag
Implementing and Exploring Quantum Cellular Automata
Ruhi Shah
Poetry Analysis
Mark Greenberg
Aggregation System Framework in Mathematica
Kabir Khanna
Rainforest Stewardship Through Blockchain
David Torres
Representation of Wavefronts for Families of Lenses
Russell Chipman
Implementing Petri Nets
James Lyu
The Geographic Distance on Asteroids
Luca Cimbaro
Incremental Changes in Cellular Automata
Ben Jacobsohn
Monitoring the Development and Spread of Cities
Ahmed Elbanna
Emoji Generation from Singular 2D Photo
Parth Kashikar
Shortest Step-by-Step Reduction of Boolean Expressions
Adela Deng
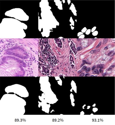
Image Segmentation of Histopathology Slides
Alex Berg
Evolving Randomly Generated Programs
Carlos Muñoz
Improving Computational Essays with Interactive Validation and Transformation
Stephen Schroeder
Gender-From-Voice Predictor
Ying Zhang
Convert Chemical Line Structure Diagrams to Graph Representation
Corwin Kerr
DifferentialEquationNet: Real Physical Networks of Time-Dependent Neurons
Cody Trevillian
Wolfram Language for Electronics
Egar Almeida
Transfer Learning with Invertible Neural Networks
Joshua Pedro
Developing a Culture of Computational Thinking
Ethan Bogle
Confluent Set Substitution Systems
Max Piskunov
Build an Error Explorer Function for the Wolfram Language
Neofytos Themistokleous
Hypercomplex Numbers Package
Alec Macher
Rocks, Patterns, Dynamics, Prediction
Alison Ord
Time Series Summarization
Yun-chi Tang
Extract Data From Discrete Plot Images Using Semantic Segmentation (Pixel Classification)
Wangping Ren
Convert Dataset to Wolfram Language
Yifei Xiao
EXFOR Parser for Wolfram Language
Estevao Teixeira
Creating Interactive Macroeconomic Models with Mathematica
Eugene Shin
A Collection of Educational Demonstrations
Abe Gadalla
Quantifying the Correlation Between Urban Design and Quality of Life
Ashot Vardanian
Tensor Visualization
Bohan Lu
Using Machine Learning to Predict NBA Games
Elan Rotenberg
Systematic Randomness Testing
Emmy Blumenthal
The Performance War: PC Benchmarking Suite for Wolfram Language environment
Dali Lai
On Semantic Analysis for Statement Verification
Damir Cavar
Astro Location
Jalil Alberto Villalobos Alva
Video Lectures for a First Year Online Introduction to Mathematica Course for Engineers
Jul Davis
Using Machine Learning to Predict Wholesale Electricity Market Load
Kyle MacLaury
Finding the Minimum Change Path Between Symbolic Expressions
Michael Udemba
Wolfram Language Using Scratch Blocks
Miguel Bravo Vidales
The C.W. Mills Award and Can One Measure ‘Thank You?’
Henry Kim
Wolfram to Teach Economics in Context
Ilker Aslantepe
Implementing a LatticePlot Function
Jack Heimrath
Investment Strategies: Functional Weighted Choice Method
Nam Tran-Hoang
Find Frequently-Used-With Wolfram Language Functions
Pierre Boisselier
Subexpression Identification Algorithm for Very Large Symbolic Expressions
Rafael Acuña
Cartogram Function
Richard Lapin
Teaching and Learning with Smart Phones and Wolfram Language for All Students
Roger Yu
Dynamical Word Cloud
Roshan Koirala
Math Autograder for Variety of Student Levels
Silas Grossberndt
‘Sibyl’: Non-Computable Facts, Answer Crowdsourcing & Work Management with Blockchains
Steven Clarke-Martin
Implementing Pictogram Data Visualization in Wolfram Language
Thomas McBride
Text Summarization with GPT-2
Valeria Mazzeo
Data Presentation and Interpretation
Vladimir Portnykh
Improve Sampling for Monte Carlo Integration using Invertible Neural Networks
Tomasz Andrzejewski
Automating Weather Data Storage with a Blockchain
Tony Koop
Genetic Algorithm Framework and the Evolution of Programs
Máté Csigi
Resolution Based Automated Theorem Prover for First Order Logic
Jan Stańczuk
Punctuation Restoration With Recurrent Neural Networks
Mengyi Shan
Reinforcement Q-Learning for Atari Games
Ian Fan
Authorship Identification by Using a Machine Learning Approach
Jaime Buitrago
A New Kind of Chess
Milad Pourrahmani
Self-Normalizing Neural Networks for Medical Diagnosis
Liubove Orlov Savko
Rooftop Recognition for Solar Energy Potential
Enrico Castro Grespan
The Sardinian Community Currency: Sardex
Leanne Ussher
A Game Theory Package for the Wolfram Language
Valeriu Ungureanu
Image generation with Variational Autoencoders
Siyi (Raymond) Guo
FM Demodulation in WL
Noah Hardwicke
Extracting Hydrographic Basin Information from Digital Elevation Models
Mohammad Bahrami
Web Deploying Numerical Cognition Experiments
Brian Rivera
Developing Computational Thinking: A Curriculum for Survey Design and Analysis
Rory Foulger
Learning About Learning
James Bailey
Morphing Using ANNs and Shape Interpolation
Manan Aggarwal
A Performance Analysis of Multiple Neural Networks to Identify Plugs and Connectors from an Image
Rishab Nayak
Historical Meta-Analysis of Mathematicians’ Biographies
Tanha Kate
Parental Kinship Recognition
Said Alejandro Munoz-Montero
Determine If a Piece of Text is a Question
Zhamilya Bilyalova
Algebraic Computations on Tropical Semi-Rings
Anjali Raj
A Calculus for Infinite Lists
Luis Antonio Vasquez Reina
A Discourse Language for Card Games
Aghil Abed Zadeh
An Analysis of Word Choice in the Real Estate Industry
Natasha Dada
Automatic Data Visualization
Sabrina Kuhrn
Describing Time Series Data
Kyle Connelly
Wolfram-Twine Bridge
Faizon Zaman
The Past and Future of Occupations in the U.S.
Jiaying Xu
Visualizing Your Inbox
Andrew Wheeler
Predict the Orientation of an Image
Nguyen Ton
Visual Representation of the Operations of List Commands
Dhruv Thanawala
Computing Text Reading Levels
Lawrence Temlock
Interpreting Drug Quantitative Structure-Activity Relationship (QSAR) Data in Mathematica
Madeleine Sutherland
Using Machine Learning to Optimize Robotic Snake Locomotion
John L. Sokol
Computational Methods for Analyzing Diophantine Equations
Nikki Sigurdson
Smart Image Auto-Cropping
Mark Seliaev
Predicting Scale of Satellite Images Using Neural Network
Mehmet Sahin
Virtual and Augmented Reality in Mathematica
Domenico Romano
Spectral Identification Classifier
Andreia Ribeiro de Noronha Sales
Molecular Mash AR
Zachary Phillips
On the Road to a Gravitational Computer: Encoding Basic Programs in Terms of the Three-Body Program
James Pedersen
Algorithm Development for Maximally - Stable Time - Dependent Graph Layout
Alexander Outkin
UpSetChart
Sumner Magruder
A Deviation from “Try to Use Neural Nets for Graph Isomorphism”
Sumner Magruder
Instagram Artwork Classification Through Neural Network
Jianing Lu
Hearty- A Microsite That Helps You Reflect on Your Day
Connie Loo
Screening Test Framework for a Notebook Submission
Viviana Letizia
Teaching Neural Nets to Solve Partial Differential Equations
Anurag Kamal
Modeling Protein Structure of Viral Capsids
Jihyeon Je
Reinforcement Learning with Policy Gradient Method
Shan Huang
Textual Analysis of Supreme Court Oral Arguments
Hannah Garringer
Tiling of Polyominoes
Harshal Gajjar
Implementing Cellular Automaton for Arbitrary Regions
Diego Gutierrez Coronel
Machine Learning on Social Events: Cluster-Tree-MLE Analysis on Gun Protests Diffusion in Space-time Metric Space
Lanston Hau Man Chu
Handwriting Recognition Using Neural Networks
Luis Fernando Cantú Díaz de León
Build a Link Between Wolfram Language and OpenFOAM
Jorge Carabali Caicedo
Clustering and Visualizing EIWL Submissions
Lauren Berk
Optimal Packing of Bidisperse Circles
Thiago R. Bergamaschi
Generating Dynamic Piano Performances with Deep Learning
Pavlo Apisov
Chart Identification Using Machine Learning
Katja Della Libera
Introducing Hadamard Binary Neural Networks
Yash Akhauri
LatticePlot
Colin Nancarrow
Instance Segmentation
Wenzhen Zhu
Analysing Quantum Systems With(out) Machine Learning
Tyson Jones
Pixel Segmentation for Feature Extraction from Satellite Pictures with Neural Networks
Théo Beigbeder
Nonlinear Feedback Shift Registers (NFSRs)
Sung Min Yoon
Exon Prediction
Sumner Magruder
Mathematica Connection to NI-Data Acquisition (DAQ) Cards
Suman Banerjee
Function Approximation Using Neural Networks
Soham Pal
Growth and Spreading of Topics on InSpireHEP/arXiv.org
Roberto Oliveri
Analysis of Mathematics Genealogy
Ricky Simanjuntak
mBot for Real-Time Data Processing
Nae Eoun Lee
Construct Programs from Examples
Michal Sadowski
Musical Rule Characterization & Composition
Michael Dobbs
Predicting Chemical Properties from Structure
Marc Thomson
Temperature Dependence on the Amount of CO2
Mantas Pastolis
Predicting Macro-Effects of Rule Variations in the Sandpile Model
Leo McElroy
Predicting Pathogenicity from Viral Genomic Sequences
Karthik Gangavarapu
3D Modeling of Topographical Maps
Kaleb Alekel
Unsupervised Rhyme Detection: Without Pronunciation
Jordan Ackerman
Automated Theorem Proving for Equational Logic
Jonathan Gorard
Quantum Computing Framework
Jacob Marks
Emotion Categorization of Text
Jackreece Ejini
Image-to-LaTeX
Himanshu Raj
Learning Weights in LeNet
Hikari Sorensen
Automated Discovery of Algebraic Structures
Dennis Hou
Computational Jockey (CJ)
Daniel Reynolds
Neural Wolfram|Alpha
Daniel George
Complete the Wolfram Expression
Daniele Baschieri
Identification & Graph Structure of Rivers
Christopher DeFiglia
Electricity Price Forecasting
Carlos Manuel Rodríguez Martínez
Quantum States for I-Electron Systems Using NDEigensystem
Carlos Arango
Construction and Study of the Ground State in the Generalized Ising Model
Andrey Grabovskiy
DeepLaetitia: Deep Reinforcement Learning That Makes You Smile
Adam Dendek
WikiClassify: Content and Link-Based Classification
Tetyana Loskutova
Reading Analog Clocks and Gauges
Santiago Sanchez-Vasquez
Measurement and Visualization of Energy Production “Solar Heaters”
Ruben Garcia
Semantic Segmentation of Urban Street Scenesr
Rohan Saxena
Pure Functional Games
Richard Hayes
An Intelligent Musical Keyboard
Rian Shams
Analyzing Ultimate Frisbee Statistics
Prahasi Kacham
Lecture Attendance Numbers
Patrick Griffin
Capturing Packets from a Network Interface
Nikhil Ramesh
LHC Data Exploration Using Wolfram Language
Nataliia Kovalchuk
OCR for Unicode Characters
Matthew Chen
Cellular Automata Unsupervised Clustering
Lina Baquero
Churn Classification for Mobile Telecom CDR Data Using a Neural Network in Wolfram Language
Jassim Moideen
Classifier for Spatial Orientations of a 3D Object
Jan Segert
Figure Out the Value of a Resistor from an Image
Itzel Carolina Delgadillo Perez
Leaf Classifier
Harish Chetty
Image Processing and Graph Reconstruction
George Galumov
Analysis of U.S. Government Foreign Assistance
Frederico Dradi
Wikipedia Articles on Computational Fields
Ethan Truelove
Truss Diagram Analyzer
Emilio Vazquez
What can special characters in a paper on arXiv.org tell us?
Bhubanjyoti Bhattacharya
How to Save the World
Benjamin Keller
Correcting Non-Syntax Expression
Andrey Krotkikh
Reverse Dictionary
Andres Lopez-Martinez
Cellular Automata Image Style Transfer
Alessio Sarti
Music Genre Classifier
Aishwarya Praveen
Learning Statistics Using the Wolfram Language
Silvani Vejar
Computation for Neuroscience
Monica Linden
Framework of Adaptive Testing in Mathematica
Mirian Lima
Science Fair Project
Maurice Barrant
The Galileo’s Inclined Plane Experiment
Mariano Cano Santos
Power[A,3] - Algorithmic Auto-Graded Aggregated Homework
Les Grundman
Contextualized Computing in Teaching Statistics
Jie Frye
Exploration in the Physics of Sound
Jesse Heidohrn
Development of a Book on Signals and Systems
Ghassane Aniba
Computational Dialogs in AP Calculus
Dan Uhlman
Citizen Science Project: Deeper Learning with Leaves
Daavid Väänänen
Thinking About Thinking with Turtles
Connor Bain
Analytics of Public Medical Data
Carlos Afonso
Symbolic Representations of Programming Languages
Chris Cooley
Cloud Classification through Machine Learning
Tushar Maharishi
Causal Structure from Markov Blankets
Quinn Winters
Server Scheduling Log Analysis
Misikir Eyob Gebrehiwot
Phase Diagram of ID Boids
Chen Ye
Senate Voting Analysis
Samuel Slocum
Forecasting Space Weather
Sapna Shekhar
Tactile Information Encoding
Teja Vodlak
Periodic Tilings with Constraints
Leah Chrestien
Ocean Sediment Dynamics
Luisa Palamenghi
VK Online Community Analysis
Anna Kudryashova
Retinal Vessel Segmentation
Tingting Huang
Automated Pitch Transcription
Carlo Giacometti
Solving the Thomson Problem
Emily Payne
Automatic Image Cropping
Ilaria Xausa
Predicting Eigenvalues from Geometry
Johann Djanal-Mann
Spin Glass Simulations
Akshay Koottandavida
Automatic Terrain Classification
Alex Fafard
Patterns from Bitwise Operations
Anand Siththaranjan
Interfacing Wolfram Language to ROS
Jiri Hofbrucker
Stochastic Substitution Systems
Thomas Wood
Planar Network Substitution Systems
Maxim Piskunov
Visualization of Neural Network Processing
Kaustabh Gupta
Toy Physics with Cellular Automata
Pavel Chvykov
Calysis[Calendar + Analysis]
Varun Gyanchandani
Fractal Dimension Computation
Sean Flaherty
Internet Sentiment and the Stock Market
Diogo Duarte
Analysis of App Sales vs. Comments
Caleb Sturges
Automated Student Lab Reports
Alexandre Soares
Quantum Hamiltonians from Celluar Automata
Sibesh Kar
Knapsack Problem Algorithm
Xavier Roy
Mathematical Formula Search
Georgi Simeonov
Robot Indoor Positioning
Pablo Ruales
Educational Microlanguages
Samuel Buteau
Graph-Edit Distance
Sofia Burille
Reddit Analysis Website
Qi Xie
ODE-Like Cellular Automata
Sai Pavan Kumar Veeranki
Commutative Cellular Automata
Victor Duy Phan
Imputing Data with Neural Networks
Kevin James
Bitcoin Transaction Analysis
Leonardo dos Santos Pinheiro
Discrete Conformal Mapping
Mehri Esmaeili Darafshani
Cellular Automata on GPU
Ashkan Akabariyeh
Functionals of Cellular Automaton Rules
Lucas Schuermann and Carlos Martin
Molecular Database Analysis
Damjan Skulic
Cellular Automaton Crypto Hash
Jesse Friedman
Probabilistic Cellular Automata
Jessica Dohmann
Automated Bird-Call Recognition
Jofre Espigulé Pons
Boolean Operations on Cellular Automata
Juan Arturo Silva-Ordaz
Block-Based Wolfram Language
Alastair Paragas and Anil Jason
Color Preferences from Social Media
Colt Bradley
String Replacements from Examples
Guilio Meleleo
Wolfram Language Code Generator
Wenzhen Zhu
Discovering Wolfram Language Identities
Dariia Porechna
Automated Travel Images Website
Xuelan Wu
Sonification of Time Series
Naoki Sawahashi