Investigando a igualdade de amplitudes de glúons reduzidas
Investigando a igualdade de amplitudes de glúons reduzidas
por Dennis Foren
Introdução
Introdução
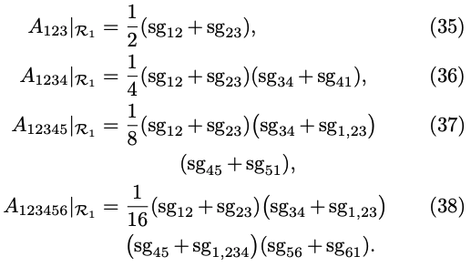
Um novo artigo publicado no ArXiv na semana passada gerou muita atenção nas redes sociais: https://arxiv.org/pdf/2602.12176 (“Single-minus gluon tree amplitudes are nonzero”). No artigo, os autores apresentam várias amplitudes reduzidas de n glúons em nível de árvore com um único sinal negativo, antes de generalizar o resultado para n arbitrário > 2. Em particular, os autores apresentam as amplitudes reduzidas para n = 3, 4, 5 e 6 nas Equações 29–32:
antes de comentar: “Claramente é necessária uma fórmula mais concisa!”, e, de fato — após restringirem ainda mais a região cinemática — eles relatam expressões mais simples para esses casos:
Por fim, eles conjecturam (e depois provam) uma generalização para n arbitrário: Esses resultados são interessantes, mas esse não é o principal motivo pelo qual este artigo está recebendo tanta atenção. Voltando à lista de autores, você verá que este trabalho foi realizado em colaboração com a OpenAI. De fato, em um artigo relacionado ( https://openai.com/index/new-result-theoretical-physics/ ), a equipe da OpenAI escreve:“Um aspecto central do trabalho diz respeito à metodologia. A fórmula final, Eq. (39) no pré-print, foi inicialmente conjecturada pelo GPT-5.2 Pro. Os autores humanos calcularam manualmente as amplitudes para valores inteiros de n até n = 6, obtendo expressões muito complicadas mostradas nas Eqs. (29)--(32), que correspondem a uma ‘expansão em diagramas de Feynman’ cuja complexidade cresce superexponencialmente com n. O GPT-5.2 Pro conseguiu reduzir significativamente a complexidade dessas expressões, fornecendo as formas muito mais simples nas Eqs. (35)--(38). A partir desses casos-base, ele foi então capaz de identificar um padrão e propor uma fórmula válida para todo n.”Ou seja, eles atribuem ao GPT-5.2 Pro a geração das equações simplificadas! Essas equações foram então verificadas como corretas pelos pesquisadores.Vários de nós, na Wolfram, vimos esse artigo e ficamos curiosos: Como poderíamos verificar rapidamente a igualdade entre as Eqs. 29–32 e as Eqs. 35–38 (em) usando a Wolfram Language?Este notebook apresenta as verificações mais rápidas que encontramos nos últimos dias para os casos n = 3, 4 e 5. Daniele Ceravolo realizou algumas investigações numéricas, Dennis Foren isolou o problema matemático subjacente do contexto físico, e Adam Strzebonski propôs e implementou o método que usamos para verificar a igualdade nos casos n = 4 e 5. Enquanto trabalhamos no caso n = 6, quisemos levar o desafio à Wolfram Community: Como VOCÊ demonstraria a igualdade entre esses conjuntos de equações? Estamos confiantes de que seria possível encontrar algumas estratégias criativas!Na próxima seção, detalhamos as variáveis e restrições envolvidas neste problema. Em seguida, analisamos os casos n = 3, 4 e 5.
R
1
Definições
Definições
Spinors
Spinors
Em princípio, cada glúon possui dois spinors: e , em que =(1,) e =(1,), sendo , , e números reais independentes. [Eq. 2]Isso implica as seguintes contrações de spinors: = - e = -.Como estamos trabalhando no regime semicólíneo, as contrações se anulam para todos os i e j [Eq. 13]. Isso é equivalente a dizer que todos os são iguais, o que os torna irrelevantes para o restante da nossa investigação. Em contraste, assumimos que todas as contrações são não nulas, isto é, ≠ para todo i,j ∈ {1, ..., n}.Enquanto isso, a conservação do momento no regime semicólíneo exige que =0, o que implica tanto =0 quanto =0. [os dois deltas na Eq. 16].A região adiciona outra restrição: <0 e > 0 para todo j ∈ {2, ..., n}.Em nosso código, definimos e da seguinte forma:
λ
i
λ
i
λ
i
z
i
λ
i
ω
i
z
i
ω
i
z
i
z
i
λ
i
λ
j
z
i
z
j
λ
i
λ
j
ω
i
ω
j
z
i
z
j
λ
i
λ
j
z
i
λ
i
λ
j
z
i
z
j
Σ
i
λ
i
Σ
i
w
i
Σ
i
w
i
z
i
R
1
ω
1
ω
j
λ
i
λ
i
λ
j
In[]:=
λt[i_]:=ω[i]*{1,zt[i]};λtλt[λti_,λtj_]:=λti[[2]]*λtj[[1]]-λti[[1]]*λtj[[2]];
E a restrição é definida como:
R
1
In[]:=
nParticleSpinorWR1[n_]:=Table[If[TrueQ[i==1],ω[i]<0,ω[i]>0],{i,1,n}];nParticleSimplify[n_][X_]:=Simplify[X,nParticleSpinorWR1[n]];
Usaremos principalmente a conservação do momento para eliminar e :
ω
1
λ
1
In[]:=
ω1[n_]:=-Sum[ω[i],{i,2,n}];zt1[n_]:=Sum[ω[i]*zt[i],{i,2,n}]/(-ω1[n]);
... e, após eliminar os parâmetros com i=1 imporemos a condição de não nulidade de por meio de:
λ
i
λ
j
In[]:=
nParticleNonzeroλtλt[n_]:=Table[zt[ij[[1]]]!=zt[ij[[2]]],{ij,Select[Tuples[Table[i,{i,2,n}],2],#[[1]]<#[[2]]&]}];
sg
sg
As amplitudes reduzidas de interesse são escritas em termos de funções de sinal, ao que os autores denominam “sg”. Há várias definições de sg ao longo do artigo, cada uma ampliando o escopo do símbolo. Logo após a Eq. 10, os autores escrevem: “sg(x) = 2Θ(x) - 1 denota a função sinal, e Θ(x) é a função degrau”. Essa definição é estendida primeiro na Eq. 10 e depois mais adiante, acima da Eq. 29. Resumimos essas regras da seguinte forma:
In[]:=
sg[x_]:=RealSign[x];sg[i_,j_]:=RealSign[λtλt[Sum[λt[ix],{ix,i}],Sum[λt[jx],{jx,j}]]];
Equações
Equações
Por fim, aqui estão as equações que nos interessam:
(*Eqs.35-38*)Eq["simple",3]=1/2*(sg[{1},{2}]+sg[{2},{3}]);Eq["simple",4]=1/4*(sg[{1},{2}]+sg[{2},{3}])*(sg[{3},{4}]+sg[{4},{1}]);Eq["simple",5]=1/8*(sg[{1},{2}]+sg[{2},{3}])*(sg[{3},{4}]+sg[{1},{2,3}])*(sg[{4},{5}]+sg[{5},{1}]);Eq["simple",6]=1/16*(sg[{1},{2}]+sg[{2},{3}])*(sg[{3},{4}]+sg[{1},{2,3}])*(sg[{4},{5}]+sg[{1},{2,3,4}])*(sg[{5},{6}]+sg[{6},{1}]);
(*Eq.39*)Eq["general",3]=1/2*(sg[{2},{3}]+sg[{1},{2}]);Eq["general",4]=Eq["general",3]*1/2*(sg[{3},{4}]+sg[{1},{2,3}]);Eq["general",5]=Eq["general",4]*1/2*(sg[{4},{5}]+sg[{1},{2,3,4}]);Eq["general",6]=Eq["general",5]*1/2*(sg[{5},{6}]+sg[{1},{2,3,4,5}]);
n = 3
n = 3
Vamos começar com o caso n = 3, no qual desejamos mostrar que a Eq. 29 e a Eq. 35 são equivalentes. Elas são, respectivamente:
In[]:=
n=3;Eq29=Eq["complex",3]Eq35=Eq["simple",3]
Out[]=
RealSign[zt[1]ω[1]ω[2]-zt[2]ω[1]ω[2]]
Out[]=
1
2
Essas expressões podem então ser simplificadas por meio das restrições para n partículas:
o que revela que elas são equivalentes, isto é, a diferença entre elas é zero:
n = 4
n = 4
Em seguida, tentamos mostrar que as amplitudes para n = 4, Eq. 30 e Eq. 36, são equivalentes. Elas são, respectivamente:
Mais uma vez, removemos os parâmetros com i=1 de cada uma e calculamos sua diferença:
Em seguida, vamos encontrar todas as combinações de valores de RealSign que resultariam em um valor diferente de zero para a diferença das amplitudes:
Lembre-se de que nosso espaço de parâmetros é restringido por...
n = 5
n = 5
Abordamos o caso n = 5 da mesma forma que fizemos no caso n = 4:
Embora a implementação anterior funcione bem nesse caso, podemos acelerar ainda mais o processo por meio de paralelização:
CITE ESTE NOTEBOOK
CITE ESTE NOTEBOOK
Investigating equality of stripped gluon amplitudes
por Dennis Foren
Wolfram Community, STAFF PICKS, 20 de fevereiro de 2026
https://community.wolfram.com/groups/-/m/t/3642590
por Dennis Foren
Wolfram Community, STAFF PICKS, 20 de fevereiro de 2026
https://community.wolfram.com/groups/-/m/t/3642590