Étude de l’égalité des amplitudes dépouillées du gluon
Étude de l’égalité des amplitudes dépouillées du gluon
par Dennis Foren
Introduction
Introduction
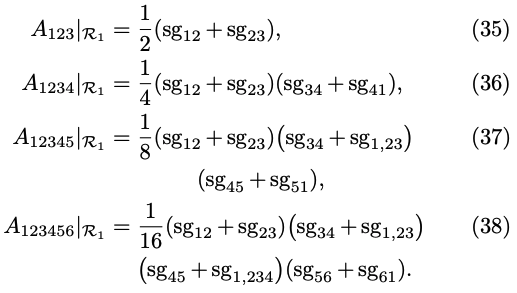
Un nouvel article est apparu sur l’ArXiv la semaine dernière et a suscité beaucoup d’attention sur les médias sociaux : https://arxiv.org/pdf/2602.12176 (intitulé « Single-minus gluon tree amplitudes are nonzero »). Les auteurs présentent diverses amplitudes dépouillées de n gluons à un seul niveau d’arbre avant de généraliser le résultat à un n arbitraire > 2. Les auteurs présentent, en particulier, les amplitudes dépouillées pour n = 3, 4, 5 et 6 dans les Eqs. 29–32 :
avant de faire cette remarque : « Il est clair qu’une formule plus concise est nécessaire ! », et en effet, après avoir restreint davantage la région cinématique, ils présentent des expressions plus simples pour ces cas :
Enfin, ils conjecturent (puis démontrent) une généralisation pour un n arbitraire : Ces résultats sont intéressants, mais ce n’est pas la raison principale pour laquelle cet article reçoit autant d’attention. En remontant à la liste des auteurs, vous verrez que ce travail a été réalisé en collaboration avec OpenAI. En effet, dans un article connexe (https://openai.com/index/new-result-theoretical-physics/), l’équipe d’OpenAI a écrit :« Un aspect central du travail concerne la méthodologie. La formule finale, Eq. (39) dans la prépublication, a d’abord été conjecturée par GPT‑5.2 Pro. Les auteurs humains ont calculé les amplitudes pour des valeurs entières de n jusqu’à n = 6 à la main, obtenant des expressions très compliquées présentées dans Eqs. (29)--(32) qui correspondent à un “développement en diagrammes de Feynman” dont la complexité croît de manière super-exponentielle avec n. GPT‑5.2 Pro a pu réduire considérablement la complexité de ces expressions, fournissant les formes beaucoup plus simples dans Eqs. (35)--(38). À partir de ces cas de base, il a ensuite su identifier un motif et proposer une formule valable pour tout n. »Autrement dit, ils attribuent à GPT-5.2 Pro la génération des équations simplifiées ! Ces dernières ont ensuite été vérifiées par les chercheurs.Plusieurs d’entre nous chez Wolfram ont vu cet article qui nous a poussé à la curiosité : Comment pourrions-nous vérifier rapidement l’égalité des Eqs. 29-32 et des Eqs. 35-38 (dans) en utilisant Wolfram Language ?Ce notebook présente les vérifications les plus rapides pour les cas n = 3, 4 et 5 que nous avons trouvées ces derniers jours. Daniele Ceravolo a effectué une analyse numérique, Dennis Foren a isolé le problème mathématique sous-jacent du contexte physique, et Adam Strzebonski a proposé et mis en œuvre la méthode que nous utilisons pour vérifier l’égalité pour n = 4 et 5. Pendant que nous travaillons sur le cas n = 6, nous avons voulu proposer ce défi à la communauté Wolfram : Comment VOUS y prendriez-vous pour démontrer l’égalité entre ces ensembles d’équations ? Nous sommes convaincus que vous saurez trouver des stratégies créatives !Dans la section suivante, nous détaillons les variables et les contraintes impliquées dans ce problème. Ensuite, nous examinons les cas n = 3, 4 et 5.
R
1
Définitions
Définitions
Spineurs
Spineurs
En principe, chaque gluon possède deux spineurs : et , où =(1,) et =(1,), où , , et sont des nombres réels indépendants. [Éq. 2]Cela implique les contractions de spineurs suivantes : = - et = -.Puisque nous travaillons dans le régime semi-colinéaire, les contractions s’annulent pour tout i et j [Éq. 13]. Cela équivaut à dire que tous les sont égaux, ce qui les rend sans pertinence pour la suite de notre étude. En revanche, nous supposons que tous les sont non nuls, c’est-à-dire que tous les ≠ pour tout i,j ∈ {1, ..., n}.Par ailleurs, la conservation de la quantité de mouvement dans le régime semi-colinéaire exige que =0, ce qui implique à la fois =0 et =0. [le dans l’Éq. 16].La région ajoute une contrainte supplémentaire : <0 et > 0 pour tout j ∈ {2, ..., n}.Dans notre code, nous définissons et ci-dessous :
λ
i
λ
i
λ
i
z
i
λ
i
ω
i
z
i
ω
i
z
i
z
i
λ
i
λ
j
z
i
z
j
λ
i
λ
j
ω
i
ω
j
z
i
z
j
λ
i
λ
j
z
i
λ
i
λ
j
z
i
z
j
Σ
i
λ
i
Σ
i
w
i
Σ
i
w
i
z
i
2
δ
R
1
ω
1
ω
j
λ
i
λ
i
λ
j
In[]:=
λt[i_]:=ω[i]*{1,zt[i]};λtλt[λti_,λtj_]:=λti[[2]]*λtj[[1]]-λti[[1]]*λtj[[2]];
Et la contrainte comme suit :
R
1
In[]:=
nParticleSpinorWR1[n_]:=Table[If[TrueQ[i==1],ω[i]<0,ω[i]>0],{i,1,n}];nParticleSimplify[n_][X_]:=Simplify[X,nParticleSpinorWR1[n]];
Nous utiliserons principalement la conservation de la quantité de mouvement pour éliminer et :
ω
1
λ
1
In[]:=
ω1[n_]:=-Sum[ω[i],{i,2,n}];zt1[n_]:=Sum[ω[i]*zt[i],{i,2,n}]/(-ω1[n]);
... et après avoir éliminé les paramètres i=1, nous imposerons un terme non nul via :
λ
i
λ
j
In[]:=
nParticleNonzeroλtλt[n_]:=Table[zt[ij[[1]]]!=zt[ij[[2]]],{ij,Select[Tuples[Table[i,{i,2,n}],2],#[[1]]<#[[2]]&]}];
sg
sg
Les amplitudes dépouillées qui nous intéressent sont écrites en termes de fonctions de signe, que les auteurs désignent par « sg ». Il existe diverses définitions de sg tout au long de l’article, chacune élargissant la portée du symbole. Sous l’Eq. 10, les auteurs écrivent « sg(x) = 2Θ(x) - 1 désigne la fonction de signe et Θ(x) est la fonction d’échelon. » Cela est d’abord étendu dans l’Eq. 10 puis davantage au-dessus de l’Eq. 29. Nous résumons ces règles comme suit :
In[]:=
sg[x_]:=RealSign[x];sg[i_,j_]:=RealSign[λtλt[Sum[λt[ix],{ix,i}],Sum[λt[jx],{jx,j}]]];
Équations
Équations
Enfin, voici les équations qui nous intéressent :
(*Eqs.35-38*)Eq["simple",3]=1/2*(sg[{1},{2}]+sg[{2},{3}]);Eq["simple",4]=1/4*(sg[{1},{2}]+sg[{2},{3}])*(sg[{3},{4}]+sg[{4},{1}]);Eq["simple",5]=1/8*(sg[{1},{2}]+sg[{2},{3}])*(sg[{3},{4}]+sg[{1},{2,3}])*(sg[{4},{5}]+sg[{5},{1}]);Eq["simple",6]=1/16*(sg[{1},{2}]+sg[{2},{3}])*(sg[{3},{4}]+sg[{1},{2,3}])*(sg[{4},{5}]+sg[{1},{2,3,4}])*(sg[{5},{6}]+sg[{6},{1}]);
(*Eq.39*)Eq["general",3]=1/2*(sg[{2},{3}]+sg[{1},{2}]);Eq["general",4]=Eq["general",3]*1/2*(sg[{3},{4}]+sg[{1},{2,3}]);Eq["general",5]=Eq["general",4]*1/2*(sg[{4},{5}]+sg[{1},{2,3,4}]);Eq["general",6]=Eq["general",5]*1/2*(sg[{5},{6}]+sg[{1},{2,3,4,5}]);
n = 3
n = 3
Commençons par le cas n = 3, dans lequel nous souhaitons démontrer que Eq. 29 et Eq. 35 sont équivalentes. Il s’agit, respectivement, de
In[]:=
n=3;Eq29=Eq["complex",3]Eq35=Eq["simple",3]
Out[]=
RealSign[zt[1]ω[1]ω[2]-zt[2]ω[1]ω[2]]
Out[]=
1
2
Celles-ci peuvent ensuite être simplifiées grâce aux contraintes à n particules :
Ce qui révèle qu’elles sont équivalentes ! C’est-à-dire que leur différence est nulle :
n = 4
n = 4
Ensuite, nous tentons de démontrer que les amplitudes n = 4 des Eq. 30 et Eq. 36 sont équivalentes. Il s’agit, respectivement, de
Nous supprimons à nouveau les paramètres i=1 de chacune d’elles et prenons leur différence :
Ensuite, trouvons toutes les combinaisons de valeurs de RealSign qui donneraient une valeur non nulle pour la différence d’amplitude :
Rappelons que notre espace des paramètres est contraint via...
n = 5
n = 5
Nous abordons le cas n = 5 exactement comme nous l’avons fait pour le cas n = 4 :
Bien que l’implémentation précédente fonctionne correctement dans ce cas, nous pouvons encore accélérer les choses grâce à la parallélisation :
CITER CE NOTEBOOK
CITER CE NOTEBOOK
Étude de l’égalité des amplitudes dépouillées du gluon
par Dennis Foren
Communauté Wolfram, CHOIX DE L’ÉQUIPE, 20 février 2026
https://community.wolfram.com/groups/-/m/t/3642590
par Dennis Foren
Communauté Wolfram, CHOIX DE L’ÉQUIPE, 20 février 2026
https://community.wolfram.com/groups/-/m/t/3642590