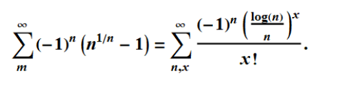
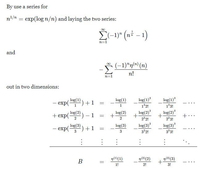
CMRB=m=
∞
∑
m
n
(-1)
(
1/n
n
-1)

In[]:=
m=NSum[(-1)^n(n^(1/n)-1),{n,∞},​​WorkingPrecision100,PrecisionGoal200,​​Method"AlternatingSigns"]
Out[]=
0.18785964246206712024851793405427323005590309490013878617200468408947723156466021370329665443310750
Also consider the following.​​
​​
In[]:=
c1=
1
2
Log[2](-2EulerGamma+Log[2]);
In[]:=
m+(c1-​​NSum[Cos[Pin]/Gamma[1+x](Log[n]/n)^x,{n,2,​​Infinity},{x,2,60},Method"AlternatingSigns",​​WorkingPrecision100,NSumTerms200])
Out[]=
-3.9×
-97
10
​​=
∞
∑
n,x=2
cos(πn)
x

log(n)
n

Γ(x+1)
-
1
2
log(2)(log(2)-2),​​=EulerGamma.
​
In[]:=
m-NSum[Cos[Pin]/Gamma[1+x](Log[n]/n)^x,{n,1,​​Infinity},{x,1,60},Method"AlternatingSigns",​​WorkingPrecision100,NSumTerms200]
Out[]=
-9.5087×
-94
10
In[]:=
m-NSum[Cos[Pin]/Gamma[1+x](Log[n]/n)^x,{n,1,​​Infinity},{x,1,60},Method"AlternatingSigns",​​WorkingPrecision100,NSumTerms200]
Out[]=
-9.5087×
-94
10