Integration problem

The full problem as seen is below, along with the attempts. I’m not sure why only the bottom attempt works.
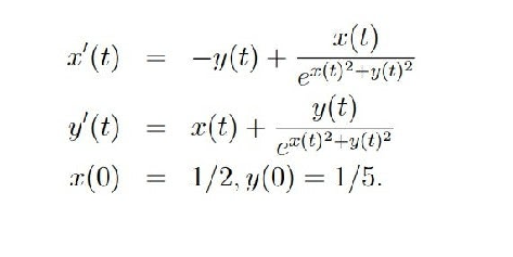
In[]:=
​​

Attempt 1 with DSolve

In[]:=
eqns=​​x'[t]-y[t]+x[t]*
-
2
x[t]
-
2
y[t]

,​​y'[t]x[t]+y[t]*
-
2
x[t]
-
2
y[t]

,​​x[0]12,​​y[0]15​​;
In[]:=
DSolve[eqns,{x,y},{t,0,1}]
Out[]=
DSolve
′
x
[t]
-
2
x[t]
-
2
y[t]

x[t]-y[t],
′
y
[t]x[t]+
-
2
x[t]
-
2
y[t]

y[t],x[0]
1
2
,y[0]
1
5
,{x,y},{t,0,1}

Attempt 2 with DSolve in a constrained region

This seems to give a result but with an InterpolatingFunction output.
In[]:=
solsN=NDSolve[eqns,{x,y},{t,0,2}]
Out[]=
xInterpolatingFunction
Domain: {{0.,2.}}
Output: scalar
,yInterpolatingFunction
Domain: {{0.,2.}}
Output: scalar

In[]:=
solsN[[1]]
Out[]=
xInterpolatingFunction
Domain: {{0.,2.}}
Output: scalar
,yInterpolatingFunction
Domain: {{0.,2.}}
Output: scalar

In[]:=
Plot[{x[t],y[t]}/.solsN,{t,0,2}]
Out[]=
0.5
1.0
1.5
2.0
-1.0
-0.5
0.5
1.0